Good Farm Plus®
A GLOBAL CERTIFICATION FOR SUSTAINABLE, RESPONSIBLE LIVESTOCK FARMING AND ANIMAL WELFARE
¿QUÉ ES GOOD FARM PLUS?
Good Farm Plus applies to livestock farms committed to sustainable and responsible management. It establishes clear standards for environmental practices, social responsibility, and animal welfare, enabling stakeholders to identify farms that operate transparently and ethically, promote resource efficiency and circular economy principles, and ensure consistent sustainability practices across global animal production systems.
¿Qué significa esta certificación?
UNA NORMA VERIFICADA QUE GARANTIZA QUE LAS GRANJAS DE PRODUCCIÓN ANIMAL FUNCIONEN CON PRÁCTICAS SOSTENIBLES, RESPONSABLES Y ALINEADAS CON LOS CRITERIOS ESG.
La granja obtendrá la Good Farm Plus , que garantiza:
- Da prioridad a la protección del medio ambiente, la responsabilidad social y una gobernanza sólida.
- Clear ESG and animal welfare standards applied across all farm operations
- Permite a las partes interesadas identificar sistemas de producción responsables.
- Auditoría y evaluación independientes.
*Esta marca de certificación es compatible con otras certificaciones de CONFICERT. En los casos en que un operador cuente con certificaciones de más de una marca, el código QR de verificación redirigirá al centro de certificados del operador, ubicado en el portal de transparencia, donde se agrupan todas sus certificaciones activas.
¿QUIÉN PUEDE CERTIFICARSE?
Aplicable a explotaciones ganaderas comprometidas con la sostenibilidad, centrándose en prácticas ESG responsables que minimicen el impacto medioambiental.
El operador debe cumplir los siguientes requisitos:
Productores ganaderos registrados
Los operadores deben ser explotaciones ganaderas registradas que produzcan carne, leche o huevos; se excluyen la acuicultura y otras actividades de cría.
Gestión capacitada
Al menos un miembro del equipo de gestión debe completar la capacitación en línea Good Farm Plus.
Auditoría interna completada
Los operadores deben llevar a cabo una auditoría interna completa que cubra todos los requisitos de la marca antes de la certificación.
VENTAJAS DE ESTAR CERTIFICADO
Al obtener Good Farm Plus , las granjas obtienen múltiples beneficios para su negocio, su marca y sus consumidores.
Acceso a mercados premium
Acceda a mercados premium que valoran y pagan más por productos sostenibles.
Mejora de la reputación corporativa
Mejora la imagen de marca mostrando prácticas sostenibles y éticas.
Acceso a las cadenas de suministro
Facilita la entrada en cadenas de suministro con requisitos específicos de los compradores.
Cumplimiento normativo
Ayuda a cumplir con las normativas medioambientales, sociales y de gobernanza.
Mejora de la eficiencia operativa
Identificar oportunidades para optimizar la gestión de recursos y las operaciones.
Protección contra el greenwashing
Garantiza la autenticidad y evita afirmaciones ESG engañosas.
CONOCE LO QUE HAY DETRÁS DEL SELLO GOOD FARM PLUS
La importancia de de la Marca Good Farm Plus
Discover how the Good Farm Plus brand promotes sustainable, ethical, and animal‑welfare‑focused management across livestock farms. From daily farm operations to environmental practices, worker treatment, and circular economy principles, it ensures farms operate transparently, responsibly, and in line with global sustainability standards.
By choosing Good Farm Plus certified farms, you support responsible livestock production while fostering transparency, animal welfare, and trust across the supply chain. This certification serves as a seal of credibility, helping farms demonstrate their commitment to sustainability and ethical practices, and giving consumers, retailers, and stakeholders the confidence they need. That’s why more farms and conscious consumers worldwide are placing their trust in Good Farm Plus—experience the impact for yourself.
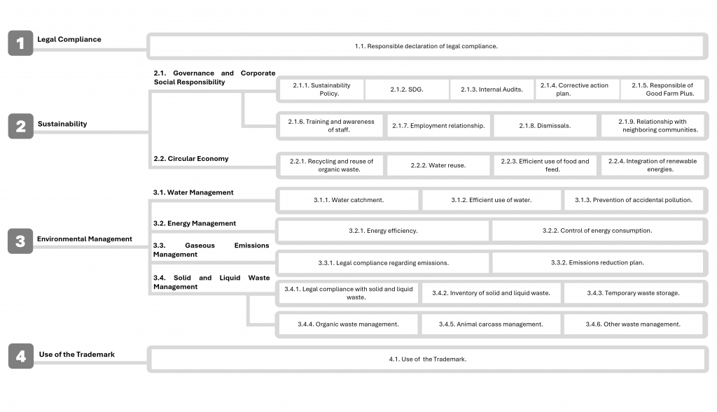
MAPA DE REQUISITOS PARA GOOD FARM PLUS
Nuestro Compromiso con la Transparencia
Fomentando elecciones conscientes a través de información clara y verificada
En CONFICERT, creemos que la confianza comienza con la transparencia. Por eso, vamos más allá de las certificaciones tradicionales, ofreciendo a los consumidores acceso directo a información clara y verificable sobre lo que hay detrás de cada etiqueta. A través de auditorías independientes, estándares rigurosos y herramientas de verificación digital como nuestro Portal de Transparencia, empoderamos a los consumidores para que tomen decisiones informadas y conscientes con total confianza.
PREGUNTAS FRECUENTES
¿Las Marcas de CONFICERT están acreditadas?
En esta fase inicial, nuestras Marcas no están acreditadas por organismos de acreditación (como ENAC), ya que requieren un período preliminar de implementación para demostrar su correcto funcionamiento y aceptación en el mercado.
Sin embargo, las marcas de CONFICERT son totalmente acreditables. Una vez consolidado su rendimiento, y siempre que el programa lo requiera, se puede iniciar el proceso de acreditación formal. Desde el principio, CONFICERT tenido en cuenta esta posibilidad y mantiene un enfoque abierto y de mejora continua.
Además, la integridad del sistema, común a todas las marcas, se gestiona de forma centralizada a través del Programa de Vigilancia de la Integridad. En la web de CONFICERT se puede consultar una descripción resumida del programa y, si se desea, se puede solicitar el documento completo.
También es importante destacar que todos los organismos de certificación pertenecientes a CONFICERT están acreditados (en el caso de los organismos españoles, por ENAC) y desarrollan sus actividades basándose principalmente en esquemas acreditados, un sistema en el que confiamos plenamente y en el que creemos.
¿Quién puede certificar las Marcas CONFICERT ?
Los procesos de certificación de las Marcas CONFICERT solo pueden ser realizados por organismos de certificación (OC) que cumplan una de las siguientes condiciones:
✔️ Ser miembro activo de CONFICERT (platino, oro o plata), o
✔️ Se consideran colaboradores.
En ambos casos, los Organismos de Certificación deben demostrar previamente el cumplimiento de los requisitos establecidos para cada Marca (acreditaciones, capacitación del personal, experiencia, etc.) y completar con éxito el proceso de autorización para poder certificarlas. Es importante destacar que los miembros no pueden certificar directamente una Marca CONFICERT simplemente por formar parte de la asociación.
El proceso de autorización está definido en los procedimientos internos de la asociación, y su cumplimiento y desempeño son supervisados dentro del Programa de Vigilancia de Integridad, garantizando la transparencia y la fiabilidad del sistema.
¿Cómo se gestiona el uso de la Marca?
Los operadores certificados firman acuerdos de licencia, proporcionan datos para el Portal de Transparencia y siguen el Manual de Uso de la Marca y el Logotipo de CONFICERT. Además, el uso de la marca está sujeto al Programa de Vigilancia de Integridad y al monitoreo continuo por parte de CONFICERT. Para obtener más información sobre nuestro Programa de Vigilancia de la Integridad, haga clic aquí.
¿Reconocerán los distribuidores o las autoridades las etiquetas CONFICERT?
Sí, ya hemos iniciado conversaciones con varias asociaciones y empresas de diferentes sectores. Creemos que nuestra iniciativa representa una excelente oportunidad tanto para promover la transparencia como forma de empoderar a los consumidores, mejorar la competitividad, diferenciar a las empresas y comunicar eficazmente sus mensajes a la sociedad.
En cualquier caso, es importante destacar que, incluso si los distribuidores o las autoridades no exigen una etiqueta específica, mientras las etiquetas cumplan con la ley (como lo hacen las de CONFICERT), confiamos en que una parte significativa de los consumidores preferirá productos o servicios que lleven una Marca CONFICERT. Al enfrentarse a la elección entre un producto certificado con una etiqueta cuyo significado no pueden comprender completamente y un producto cuya etiqueta proporciona información clara, comprensible y transparente sobre lo que representa y por qué el producto o servicio la lleva, es probable que los consumidores elijan este último.
¿Cuenta CONFICERT con el respaldo de las administraciones públicas?
En esta etapa, aún no hemos tenido la oportunidad de presentar la iniciativa a las administraciones públicas. Sin embargo, nuestro objetivo es involucrarlas para explorar cómo CONFICERT puede apoyar sus objetivos. Creemos que nuestra iniciativa es una herramienta excelente para las administraciones comprometidas con la transparencia, ayudando a abordar las brechas existentes, empoderar a los consumidores, mejorar la competitividad y diferenciación de las empresas, y comunicar eficazmente sus mensajes a la sociedad.
En lo que respecta a la armonización normativa, estamos plenamente convencidos de que el sistema de CONFICERT cumple con las nuevas normativas europeas y nacionales relacionadas con el empoderamiento de los consumidores para la transición ecológica y las declaraciones medioambientales, entre las que se incluyen:
1. Directiva (UE) 2024/825: Empoderamiento de los consumidores para la transición ecológica (Directiva contra el greenwashing).
2. Directiva (UE) 2023/0085 (COD) – Justificación y comunicación de declaraciones medioambientales explícitas (Directiva sobre declaraciones ecológicas),
3. Directiva sobre la diligencia debida en materia de sostenibilidad empresarial (CSDDD, 2023) y sistemas de sostenibilidad relacionados.
Ya hemos presentado varias consultas tanto al Ministerio de Agricultura, Pesca y Alimentación (MAPA) español como a la Comisión Europea, aunque aún no hemos recibido respuesta.
NOTA: CONFICERT que no solo cumple plenamente con esta legislación, sino que también está totalmente alineada con ella y puede servir como una herramienta valiosa para su implementación, por razones que incluyen:
(1) Directiva contra el greenwashing (UE) 2024/825:
- El CONFICERT se basa en un régimen de certificación que debería incluirse en el anexo I de la Directiva 2005/29/CE.
- Las condiciones del sistema de certificación CONFICERT están disponibles públicamente, y las Marcas cumplen con los requisitos mínimos de transparencia y credibilidad, incluida la supervisión objetiva del cumplimiento (a través de un sistema de auditoría y certificación transparente).
- La supervisión corre a cargo de un tercero independiente cuya competencia e independencia están garantizadas por normas internacionales (por ejemplo, la norma ISO 17065 para organismos de certificación).
(2) Directiva sobre declaraciones ambientales (2023/0085):
- Las etiquetas de sostenibilidad (Marcas) cumplen y superan los requisitos mínimos de transparencia y credibilidad, lo cual es uno de los objetivos fundamentales de CONFICERT.
- Las declaraciones y etiquetas medioambientales son verificadas y certificadas por un organismo independiente acreditado (los organismos de certificación autorizados) antes de ser utilizadas en comunicaciones comerciales, emitiéndose un certificado de conformidad cuando se cumplen los requisitos, tal como lo exige esta Directiva.
(3) CSDDD (Directiva sobre la diligencia debida en materia de sostenibilidad empresarial):
- CONFICERT puede servir como un mecanismo práctico para apoyar el cumplimiento de esta directiva.
Por último, incluso sin un reconocimiento formal por parte de las autoridades en este momento, mientras las Marcas CONFICERT cumplan con la legislación vigente (como es el caso) y sean valoradas por los consumidores, las empresas y la sociedad, pueden utilizarse para fortalecer la confianza y la transparencia en el mercado.
Solicite su Good Farm Plus
PARA MÁS INFORMACIÓN SOBRE LA CERTIFICACIÓN, CONTÁCTENOS:
Good Farm Plus®
A GLOBAL CERTIFICATION FOR SUSTAINABLE, RESPONSIBLE LIVESTOCK FARMING AND ANIMAL WELFARE
¿QUÉ ES GOOD FARM PLUS?
Good Farm Plus applies to livestock farms committed to sustainable and responsible management. It establishes clear standards for environmental practices, social responsibility, and animal welfare, enabling stakeholders to identify farms that operate transparently and ethically, promote resource efficiency and circular economy principles, and ensure consistent sustainability practices across global animal production systems.
¿Qué significa esta certificación?
UNA NORMA VERIFICADA QUE GARANTIZA QUE LAS GRANJAS DE PRODUCCIÓN ANIMAL FUNCIONEN CON PRÁCTICAS SOSTENIBLES, RESPONSABLES Y ALINEADAS CON LOS CRITERIOS ESG.
La granja obtendrá la Good Farm Plus , que garantiza:
- Da prioridad a la protección del medio ambiente, la responsabilidad social y una gobernanza sólida.
- Clear ESG and animal welfare standards applied across all farm operations
- Permite a las partes interesadas identificar sistemas de producción responsables.
- Auditoría y evaluación independientes.
*Esta marca de certificación es compatible con otras certificaciones de CONFICERT. En los casos en que un operador cuente con certificaciones de más de una marca, el código QR de verificación redirigirá al centro de certificados del operador, ubicado en el portal de transparencia, donde se agrupan todas sus certificaciones activas.
¿QUIÉN PUEDE CERTIFICARSE?
Aplicable a explotaciones ganaderas comprometidas con la sostenibilidad, centrándose en prácticas ESG responsables que minimicen el impacto medioambiental.
El operador debe cumplir los siguientes requisitos:
Productores ganaderos registrados
Los operadores deben ser explotaciones ganaderas registradas que produzcan carne, leche o huevos; se excluyen la acuicultura y otras actividades de cría.
Gestión capacitada
Al menos un miembro del equipo de gestión debe completar la capacitación en línea Good Farm Plus.
Auditoría interna completada
Los operadores deben llevar a cabo una auditoría interna completa que cubra todos los requisitos de la marca antes de la certificación.
VENTAJAS DE ESTAR CERTIFICADO
Al obtener Good Farm Plus , las granjas obtienen múltiples beneficios para su negocio, su marca y sus consumidores.
Acceso a mercados premium
Acceda a mercados premium que valoran y pagan más por productos sostenibles.
Mejora de la reputación corporativa
Mejora la imagen de marca mostrando prácticas sostenibles y éticas.
Acceso a las cadenas de suministro
Facilita la entrada en cadenas de suministro con requisitos específicos de los compradores.
Cumplimiento normativo
Ayuda a cumplir con las normativas medioambientales, sociales y de gobernanza.
Mejora de la eficiencia operativa
Identificar oportunidades para optimizar la gestión de recursos y las operaciones.
Protección contra el greenwashing
Garantizar la autenticidad y evitar afirmaciones ESG engañosas.
CONOCE LO QUE HAY DETRÁS DEL SELLO GOOD FARM PLUS
La importancia de de la Marca Good Farm Plus
Discover how the Good Farm Plus brand promotes sustainable, ethical, and animal‑welfare‑focused management across livestock farms. From daily farm operations to environmental practices, worker treatment, and circular economy principles, it ensures farms operate transparently, responsibly, and in line with global sustainability standards.
By choosing Good Farm Plus certified farms, you support responsible livestock production while fostering transparency, animal welfare, and trust across the supply chain. This certification serves as a seal of credibility, helping farms demonstrate their commitment to sustainability and ethical practices, and giving consumers, retailers, and stakeholders the confidence they need. That’s why more farms and conscious consumers worldwide are placing their trust in Good Farm Plus—experience the impact for yourself.
MAPA DE REQUISITOS PARA GOOD FARM PLUS
Nuestro Compromiso con la Transparencia
Fomentando elecciones conscientes a través de información clara y verificada
En CONFICERT, creemos que la confianza comienza con la transparencia. Por eso, vamos más allá de las certificaciones tradicionales, ofreciendo a los consumidores acceso directo a información clara y verificable sobre lo que hay detrás de cada etiqueta. A través de auditorías independientes, estándares rigurosos y herramientas de verificación digital como nuestro Portal de Transparencia, empoderamos a los consumidores para que tomen decisiones informadas y conscientes con total confianza.
PREGUNTAS FRECUENTES
¿Las Marcas de CONFICERT están acreditadas?
En esta fase inicial, nuestras Marcas no están acreditadas por organismos de acreditación (como ENAC), ya que requieren un período preliminar de implementación para demostrar su correcto funcionamiento y aceptación en el mercado.
Sin embargo, las marcas de CONFICERT son totalmente acreditables. Una vez consolidado su rendimiento, y siempre que el programa lo requiera, se puede iniciar el proceso de acreditación formal. Desde el principio, CONFICERT tenido en cuenta esta posibilidad y mantiene un enfoque abierto y de mejora continua.
Además, la integridad del sistema, común a todas las marcas, se gestiona de forma centralizada a través del Programa de Vigilancia de la Integridad. En la web de CONFICERT se puede consultar una descripción resumida del programa y, si se desea, se puede solicitar el documento completo.
También es importante destacar que todos los organismos de certificación pertenecientes a CONFICERT están acreditados (en el caso de los organismos españoles, por ENAC) y desarrollan sus actividades basándose principalmente en esquemas acreditados, un sistema en el que confiamos plenamente y en el que creemos.
¿Quién puede certificar las Marcas CONFICERT ?
Los procesos de certificación de las Marcas CONFICERT solo pueden ser realizados por organismos de certificación (OC) que cumplan una de las siguientes condiciones:
✔️ Ser miembro activo de CONFICERT (platino, oro o plata), o
✔️ Se consideran colaboradores.
En ambos casos, los Organismos de Certificación deben demostrar previamente el cumplimiento de los requisitos establecidos para cada Marca (acreditaciones, capacitación del personal, experiencia, etc.) y completar con éxito el proceso de autorización para poder certificarlas. Es importante destacar que los miembros no pueden certificar directamente una Marca CONFICERT simplemente por formar parte de la asociación.
El proceso de autorización está definido en los procedimientos internos de la asociación, y su cumplimiento y desempeño son supervisados dentro del Programa de Vigilancia de Integridad, garantizando la transparencia y la fiabilidad del sistema.
¿Cómo se gestiona el uso de la Marca?
Los operadores certificados firman acuerdos de licencia, proporcionan datos para el Portal de Transparencia y siguen el Manual de Uso de la Marca y el Logotipo de CONFICERT. Además, el uso de la marca está sujeto al Programa de Vigilancia de Integridad y al monitoreo continuo por parte de CONFICERT. Para obtener más información sobre nuestro Programa de Vigilancia de la Integridad, haga clic aquí.
¿Reconocerán los distribuidores o las autoridades las etiquetas CONFICERT?
Sí, ya hemos iniciado conversaciones con varias asociaciones y empresas de diferentes sectores. Creemos que nuestra iniciativa representa una excelente oportunidad tanto para promover la transparencia como forma de empoderar a los consumidores, mejorar la competitividad, diferenciar a las empresas y comunicar eficazmente sus mensajes a la sociedad.
En cualquier caso, es importante destacar que, incluso si los distribuidores o las autoridades no exigen una etiqueta específica, mientras las etiquetas cumplan con la ley (como lo hacen las de CONFICERT), confiamos en que una parte significativa de los consumidores preferirá productos o servicios que lleven una Marca CONFICERT. Al enfrentarse a la elección entre un producto certificado con una etiqueta cuyo significado no pueden comprender completamente y un producto cuya etiqueta proporciona información clara, comprensible y transparente sobre lo que representa y por qué el producto o servicio la lleva, es probable que los consumidores elijan este último.
¿Cuenta CONFICERT con el respaldo de las administraciones públicas?
En esta etapa, aún no hemos tenido la oportunidad de presentar la iniciativa a las administraciones públicas. Sin embargo, nuestro objetivo es involucrarlas para explorar cómo CONFICERT puede apoyar sus objetivos. Creemos que nuestra iniciativa es una herramienta excelente para las administraciones comprometidas con la transparencia, ayudando a abordar las brechas existentes, empoderar a los consumidores, mejorar la competitividad y diferenciación de las empresas, y comunicar eficazmente sus mensajes a la sociedad.
En lo que respecta a la armonización normativa, estamos plenamente convencidos de que el sistema de CONFICERT cumple con las nuevas normativas europeas y nacionales relacionadas con el empoderamiento de los consumidores para la transición ecológica y las declaraciones medioambientales, entre las que se incluyen:
1. Directiva (UE) 2024/825: Empoderamiento de los consumidores para la transición ecológica (Directiva contra el greenwashing).
2. Directiva (UE) 2023/0085 (COD) – Justificación y comunicación de declaraciones medioambientales explícitas (Directiva sobre declaraciones ecológicas),
3. Directiva sobre la diligencia debida en materia de sostenibilidad empresarial (CSDDD, 2023) y sistemas de sostenibilidad relacionados.
Ya hemos presentado varias consultas tanto al Ministerio de Agricultura, Pesca y Alimentación (MAPA) español como a la Comisión Europea, aunque aún no hemos recibido respuesta.
NOTA: CONFICERT que no solo cumple plenamente con esta legislación, sino que también está totalmente alineada con ella y puede servir como una herramienta valiosa para su implementación, por razones que incluyen:
(1) Directiva contra el greenwashing (UE) 2024/825:
- El CONFICERT se basa en un régimen de certificación que debería incluirse en el anexo I de la Directiva 2005/29/CE.
- Las condiciones del sistema de certificación CONFICERT están disponibles públicamente, y las Marcas cumplen con los requisitos mínimos de transparencia y credibilidad, incluida la supervisión objetiva del cumplimiento (a través de un sistema de auditoría y certificación transparente).
- La supervisión corre a cargo de un tercero independiente cuya competencia e independencia están garantizadas por normas internacionales (por ejemplo, la norma ISO 17065 para organismos de certificación).
(2) Directiva sobre declaraciones ambientales (2023/0085):
- Las etiquetas de sostenibilidad (Marcas) cumplen y superan los requisitos mínimos de transparencia y credibilidad, lo cual es uno de los objetivos fundamentales de CONFICERT.
- Las declaraciones y etiquetas medioambientales son verificadas y certificadas por un organismo independiente acreditado (los organismos de certificación autorizados) antes de ser utilizadas en comunicaciones comerciales, emitiéndose un certificado de conformidad cuando se cumplen los requisitos, tal como lo exige esta Directiva.
(3) CSDDD (Directiva sobre la diligencia debida en materia de sostenibilidad empresarial):
- CONFICERT puede servir como un mecanismo práctico para apoyar el cumplimiento de esta directiva.
Por último, incluso sin un reconocimiento formal por parte de las autoridades en este momento, mientras las Marcas CONFICERT cumplan con la legislación vigente (como es el caso) y sean valoradas por los consumidores, las empresas y la sociedad, pueden utilizarse para fortalecer la confianza y la transparencia en el mercado.
Solicite su Good Farm Plus
PARA MÁS INFORMACIÓN SOBRE LA CERTIFICACIÓN, CONTÁCTENOS:
Good Farm Plus®
A GLOBAL CERTIFICATION FOR SUSTAINABLE, RESPONSIBLE LIVESTOCK FARMING AND ANIMAL WELFARE
¿QUÉ ES GOOD FARM PLUS?
Good Farm Plus applies to livestock farms committed to sustainable and responsible management. It establishes clear standards for environmental practices, social responsibility, and animal welfare, enabling stakeholders to identify farms that operate transparently and ethically, promote resource efficiency and circular economy principles, and ensure consistent sustainability practices across global animal production systems.
¿Qué significa esta certificación?
UNA NORMA VERIFICADA QUE GARANTIZA QUE LAS GRANJAS DE PRODUCCIÓN ANIMAL FUNCIONEN CON PRÁCTICAS SOSTENIBLES, RESPONSABLES Y ALINEADAS CON LOS CRITERIOS ESG.
La granja obtendrá la certificación Good Farm Plus , que garantiza:
- Da prioridad a la protección del medio ambiente, la responsabilidad social y una gobernanza sólida.
- Clear ESG and animal welfare standards applied across all farm operations
- Permite a las partes interesadas identificar sistemas de producción responsables.
- Auditoría y evaluación independientes.
*Esta marca de certificación es compatible con otras certificaciones de CONFICERT. En los casos en que un operador cuente con certificaciones de más de una marca, el código QR de verificación redirigirá al centro de certificados del operador, ubicado en el portal de transparencia, donde se agrupan todas sus certificaciones activas.
¿QUIÉN PUEDE CERTIFICARSE?
Aplicable a explotaciones ganaderas comprometidas con la sostenibilidad, centrándose en prácticas ESG responsables que minimicen el impacto medioambiental.
El operador debe cumplir los siguientes requisitos:
Productores ganaderos registrados
Los operadores deben ser explotaciones ganaderas registradas que produzcan carne, leche o huevos; se excluyen la acuicultura y otras actividades de cría.
Gestión capacitada
Al menos un miembro del equipo de gestión debe completar la capacitación en línea Good Farm Plus.
Auditoría interna completada
Los operadores deben llevar a cabo una auditoría interna completa que cubra todos los requisitos de la marca antes de la certificación.
VENTAJAS DE ESTAR CERTIFICADO
Al obtener Good Farm Plus , las granjas obtienen múltiples beneficios para su negocio, su marca y sus consumidores.
Acceso a mercados premium
Acceda a mercados premium que valoran y pagan más por productos sostenibles.
Mejora de la reputación corporativa
Mejora la imagen de marca mostrando prácticas sostenibles y éticas.
Acceso a las cadenas de suministro
Facilita la entrada en cadenas de suministro con requisitos específicos de los compradores.
Cumplimiento normativo
Ayuda a cumplir con las normativas medioambientales, sociales y de gobernanza.
Mejora de la eficiencia operativa
Identificar oportunidades para optimizar la gestión de recursos y las operaciones.
Protección contra el greenwashing
Garantiza la autenticidad y evita afirmaciones ESG engañosas.
CONOCE LO QUE HAY DETRÁS DEL SELLO GOOD FARM PLUS
La importancia de de la Marca Good Farm Plus
Discover how the Good Farm Plus brand promotes sustainable, ethical, and animal‑welfare‑focused management across livestock farms. From daily farm operations to environmental practices, worker treatment, and circular economy principles, it ensures farms operate transparently, responsibly, and in line with global sustainability standards.
By choosing Good Farm Plus certified farms, you support responsible livestock production while fostering transparency, animal welfare, and trust across the supply chain. This certification serves as a seal of credibility, helping farms demonstrate their commitment to sustainability and ethical practices, and giving consumers, retailers, and stakeholders the confidence they need. That’s why more farms and conscious consumers worldwide are placing their trust in Good Farm Plus—experience the impact for yourself.
MAPA DE REQUISITOS PARA GOOD FARM PLUS
Nuestro Compromiso con la Transparencia
Fomentando elecciones conscientes a través de información clara y verificada
En CONFICERT, creemos que la confianza comienza con la transparencia. Por eso, vamos más allá de las certificaciones tradicionales, ofreciendo a los consumidores acceso directo a información clara y verificable sobre lo que hay detrás de cada etiqueta. A través de auditorías independientes, estándares rigurosos y herramientas de verificación digital como nuestro Portal de Transparencia, empoderamos a los consumidores para que tomen decisiones informadas y conscientes con total confianza.
PREGUNTAS FRECUENTES
¿Las Marcas de CONFICERT están acreditadas?
En esta fase inicial, nuestras Marcas no están acreditadas por organismos de acreditación (como ENAC), ya que requieren un período preliminar de implementación para demostrar su correcto funcionamiento y aceptación en el mercado.
Sin embargo, las marcas de CONFICERT son totalmente acreditables. Una vez consolidado su rendimiento, y siempre que el programa lo requiera, se puede iniciar el proceso de acreditación formal. Desde el principio, CONFICERT tenido en cuenta esta posibilidad y mantiene un enfoque abierto y de mejora continua.
Además, la integridad del sistema, común a todas las marcas, se gestiona de forma centralizada a través del Programa de Vigilancia de la Integridad. En la web de CONFICERT se puede consultar una descripción resumida del programa y, si se desea, se puede solicitar el documento completo.
También es importante destacar que todos los organismos de certificación pertenecientes a CONFICERT están acreditados (en el caso de los organismos españoles, por ENAC) y desarrollan sus actividades basándose principalmente en esquemas acreditados, un sistema en el que confiamos plenamente y en el que creemos.
¿Quién puede certificar las Marcas CONFICERT ?
Los procesos de certificación de las Marcas CONFICERT solo pueden ser realizados por organismos de certificación (OC) que cumplan una de las siguientes condiciones:
✔️ Ser miembro activo de CONFICERT (platino, oro o plata), o
✔️ Se consideran colaboradores.
En ambos casos, los Organismos de Certificación deben demostrar previamente el cumplimiento de los requisitos establecidos para cada Marca (acreditaciones, capacitación del personal, experiencia, etc.) y completar con éxito el proceso de autorización para poder certificarlas. Es importante destacar que los miembros no pueden certificar directamente una Marca CONFICERT simplemente por formar parte de la asociación.
El proceso de autorización está definido en los procedimientos internos de la asociación, y su cumplimiento y desempeño son supervisados dentro del Programa de Vigilancia de Integridad, garantizando la transparencia y la fiabilidad del sistema.
¿Cómo se gestiona el uso de la Marca?
Los operadores certificados firman acuerdos de licencia, proporcionan datos para el Portal de Transparencia y siguen el Manual de Uso de la Marca y el Logotipo de CONFICERT. Además, el uso de la marca está sujeto al Programa de Vigilancia de Integridad y al monitoreo continuo por parte de CONFICERT. Para obtener más información sobre nuestro Programa de Vigilancia de la Integridad, haga clic aquí.
¿Reconocerán los distribuidores o las autoridades las etiquetas CONFICERT?
Sí, ya hemos iniciado conversaciones con varias asociaciones y empresas de diferentes sectores. Creemos que nuestra iniciativa representa una excelente oportunidad tanto para promover la transparencia como forma de empoderar a los consumidores, mejorar la competitividad, diferenciar a las empresas y comunicar eficazmente sus mensajes a la sociedad.
En cualquier caso, es importante destacar que, incluso si los distribuidores o las autoridades no exigen una etiqueta específica, mientras las etiquetas cumplan con la ley (como lo hacen las de CONFICERT), confiamos en que una parte significativa de los consumidores preferirá productos o servicios que lleven una Marca CONFICERT. Al enfrentarse a la elección entre un producto certificado con una etiqueta cuyo significado no pueden comprender completamente y un producto cuya etiqueta proporciona información clara, comprensible y transparente sobre lo que representa y por qué el producto o servicio la lleva, es probable que los consumidores elijan este último.
¿Cuenta CONFICERT con el respaldo de las administraciones públicas?
En esta etapa, aún no hemos tenido la oportunidad de presentar la iniciativa a las administraciones públicas. Sin embargo, nuestro objetivo es involucrarlas para explorar cómo CONFICERT puede apoyar sus objetivos. Creemos que nuestra iniciativa es una herramienta excelente para las administraciones comprometidas con la transparencia, ayudando a abordar las brechas existentes, empoderar a los consumidores, mejorar la competitividad y diferenciación de las empresas, y comunicar eficazmente sus mensajes a la sociedad.
En lo que respecta a la armonización normativa, estamos plenamente convencidos de que el sistema de CONFICERT cumple con las nuevas normativas europeas y nacionales relacionadas con el empoderamiento de los consumidores para la transición ecológica y las declaraciones medioambientales, entre las que se incluyen:
1. Directiva (UE) 2024/825: Empoderamiento de los consumidores para la transición ecológica (Directiva contra el greenwashing).
2. Directiva (UE) 2023/0085 (COD) – Justificación y comunicación de declaraciones medioambientales explícitas (Directiva sobre declaraciones ecológicas),
3. Directiva sobre la diligencia debida en materia de sostenibilidad empresarial (CSDDD, 2023) y sistemas de sostenibilidad relacionados.
Ya hemos presentado varias consultas tanto al Ministerio de Agricultura, Pesca y Alimentación (MAPA) español como a la Comisión Europea, aunque aún no hemos recibido respuesta.
NOTA: CONFICERT que no solo cumple plenamente con esta legislación, sino que también está totalmente alineada con ella y puede servir como una herramienta valiosa para su implementación, por razones que incluyen:
(1) Directiva contra el greenwashing (UE) 2024/825:
- El CONFICERT se basa en un régimen de certificación que debería incluirse en el anexo I de la Directiva 2005/29/CE.
- Las condiciones del sistema de certificación CONFICERT están disponibles públicamente, y las Marcas cumplen con los requisitos mínimos de transparencia y credibilidad, incluida la supervisión objetiva del cumplimiento (a través de un sistema de auditoría y certificación transparente).
- La supervisión corre a cargo de un tercero independiente cuya competencia e independencia están garantizadas por normas internacionales (por ejemplo, la norma ISO 17065 para organismos de certificación).
(2) Directiva sobre declaraciones ambientales (2023/0085):
- Las etiquetas de sostenibilidad (Marcas) cumplen y superan los requisitos mínimos de transparencia y credibilidad, lo cual es uno de los objetivos fundamentales de CONFICERT.
- Las declaraciones y etiquetas medioambientales son verificadas y certificadas por un organismo independiente acreditado (los organismos de certificación autorizados) antes de ser utilizadas en comunicaciones comerciales, emitiéndose un certificado de conformidad cuando se cumplen los requisitos, tal como lo exige esta Directiva.
(3) CSDDD (Directiva sobre la diligencia debida en materia de sostenibilidad empresarial):
- CONFICERT puede servir como un mecanismo práctico para apoyar el cumplimiento de esta directiva.
Por último, incluso sin un reconocimiento formal por parte de las autoridades en este momento, mientras las Marcas CONFICERT cumplan con la legislación vigente (como es el caso) y sean valoradas por los consumidores, las empresas y la sociedad, pueden utilizarse para fortalecer la confianza y la transparencia en el mercado.
Solicite su Good Farm Plus
PARA MÁS INFORMACIÓN SOBRE LA CERTIFICACIÓN, CONTÁCTENOS:


